Parjure des
docteurs
François Péloquin urologue,
Claude LAMARRE orthopédiste
et Denis LADOUCEUR neuro-chirurgien.
Ce complot a été mis en
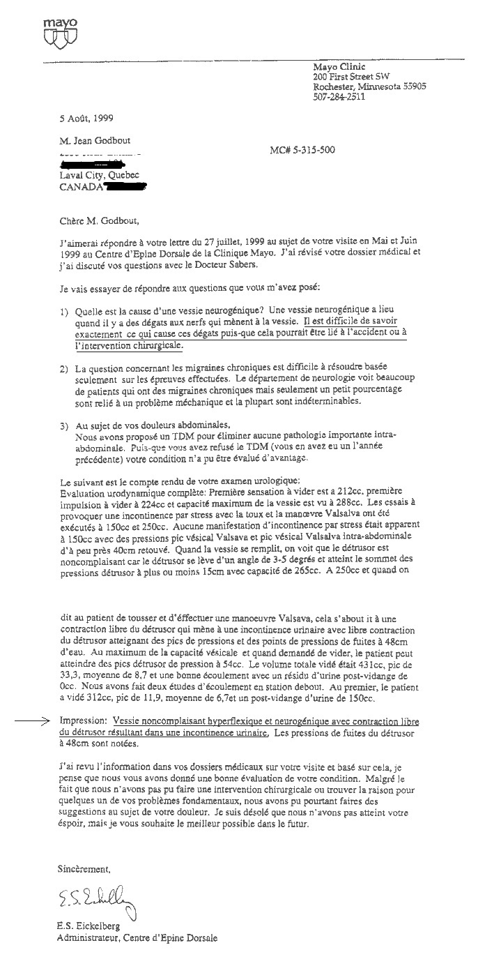
place pour noyer le poisson, c'est à dire que j'avais un résultat d'un
bilan urodynamique effectué à la Clinique Médicale MAYO qui faisait état
d'une "Vessie noncompliante
hyperéflexique et neurogénique avec contraction libre du détrusor résultant
dans une incontinence urinaire. Les pressions de fuites du détrusor
à 48 cm sont notées."
C'est ma lésion initiale des hernies rupturées en L4-L5 & L5-S1 qui
causent la vessie neurogénique
(syndrome de la queue de cheval) et le complot
visait à ''inventer'' la théorie :
''il faut nécessairement qu'il y ait une lésion de la moelle située
au-dessus de L2, selon le docteur Péloquin, ou au-dessus de D1-D11 ou
L1, selon les docteurs Lamarre et Ladouceur''.
Le tout approuvé par l'assesseur médical
corrompu Dr. Michel Lessage, un bandit
membre de la Commission Internationale de
la Santé au Travail (CIST)
Ils essayaient de nier le
syndrome de la queue de cheval par du mensonge et de la tricherie, en
fait ils cherchaient à couvrir les conséquences catastrophiques qu'ont
causés fausses expertises des Drs. Paul
Mailhot orthopédiste corrompu de la CSST et du Dr. Louis E. Roy
neurologue membre en règle du crime organisé du BÉM qui m'ont aussi
''planté'' en niant mes ruptures discales et
sciatalgie bilatérale (DRAPEAU
ROUGE) et provoquer un violent dommage par compression des racines
nerveuses sacré de la queue de cheval en me retournant illicitement au
travail à soulever des poids allant jusqu'à 125 livres pendant dix
semaines (plus de deux fois la limite légale au Québec) ... alors que
j'aurais dû être en salle d'opération d'urgence. En falsifiant mon
diagnostic médical la CSST demandait à l'arbitre médical de juger entre
une entorse lombaire, versus une entorse lombaire ... À une fausse
question on obtient toujours 100% garantie une fausse réponse ... Les
dés étaient pipés d'avance par cette falsification de mon diagnostic
médical.
Moi qui l'ai vécu, j'affirme que ce furent des
traitements cruel, inhumains et inusités !

Le 28 septembre 1999, comparait au
Palais de Justice de Laval devant le tribunal de la Commission des Lésions
Professionnelles (CLP) dans les causes; 91822-61-9709, 115396-61-9904,
115929-61-9905 et 121934-61-9908, du dossier CSST portant le No
106451255 de Jean GODBOUT, le docteur François PÉLOQUIN,
urologue,
pratiquant
à la Clinique Médicale Le Carrefour, 3030 boul. Le Carrefour, Laval,
(Québec) H7T 2P5 et
au 1560 de la rue Sherbrooke est (Hôpital
Notre-Dame, Montréal), gradué de l'Université McGill à Montréal,
professeur adjoint de clinique à l'Université de Montréal, possédant
une maîtrise en chirurgie prostatique,
lequel promet solennellement
de dire la vérité, toute la vérité et seulement que la vérité !
Le 16 février 2000, comparait au Palais de
Justice de Laval
devant le tribunal de la Commission des Lésions
Professionnelles (CLP) dans les causes; 91822-61-9709, 115396-61-9904,
115929-61-9905 et 121934-61-9908, du dossier CSST portant le No
106451255 de Jean GODBOUT, le docteur Claude LAMARRE, orthopédiste,
pratiquant à l'Hôpital Hotel-Dieu de St-Jérôme au 500 boul. des
Laurentides, suite 018, St-Antoine (436-8255 ainsi qu'au 233, rue
Turgeon suite 4 à Ste-Thérèse (436-8255) et (450) 476-1956 et à
Montréal au (514) 729-6371, lequel promet
solennellement de dire la vérité, toute la vérité et seulement que
la vérité !
Le 18 février 2000, comparait au Palais de
Justice de Laval
devant le tribunal de la Commission des Lésions
Professionnelles (CLP) dans les causes; 91822-61-9709, 115396-61-9904,
115929-61-9905 et 121934-61-9908, du dossier CSST portant le No
106451255 de Jean GODBOUT, le docteur Denis LADOUCEUR,
neuro-chirurgien, pratiquant à l'Hôpital du Sacré-Coeur de Montréal
ainsi qu'à sa Clinique privé au 122 rue Saint-Laurent, bureau 500 à
Saint-Eustache (Québec) J7P 5G1, téléphone : (450) 623-3258) & télécopieur
(450) 623-5805, lequel promet
solennellement de dire la vérité, toute la vérité et seulement que
la vérité !
Lors de son témoignage, le Docteur PÉLOQUIN
se réfère à un article publié dans le Journal of Urology, dont
l'auteur est COSTABILE, volume 146 (6), page 1571 - a 4 à 1574, pour
justifier son diagnostic d'orchialgie, et selon ses dires, il s'agirait
du syndrome low-back pain, lombalgie chronique sévère qui causerait
les orchialgies.
À la production de son expertise, le
diagnostic principal de ce médecin expert était l'orchialgie,
alors qu'entre temps je me rendais à la
CLINIQUE MAYO (Rochester,
Minessota, U.S.A.) ou on a démontré un problème beaucoup plus plus sévère
et important, soit une :
"Vessie noncompliante
hyperéflexique et neurogénique avec contraction libre du détrusor résultant
dans une incontinence urinaire. Les pressions de fuites du détrusor
à 48 cm sont notées."
Le docteur François PÉLOQUIN
affirmait devant le tribunal que la vessie hyperéflexique, par cause
neurologique documentée, provenait habituellement d'une lésion en haut
de L2 ... , il rajoutait; "Par cause neurogène on entend une
lésion en haut du corps vertébral L2." (Page 89 des
notes sténographiques de la séance de l'après-midi, 28 septembre
1999).
*** Dans sa décision du 5 juin 2000, Me
Lucie COUTURE, Commissaire de la Commission des Lésions
Professionnelles (CLP), assistée de son assesseur médical, le docteur
Michel LESSAGE, au paragraphe
[208]
elle écrit :
***
[208]
En effet, la Commission des lésions professionnelle retient
les témoignages des docteurs PÉLOQUIN, urologue, expert du
travailleur, LAMARRE et LADOUCEUR qui sont tous au même effet. Ils
sont d'avis que dans le cas d'une vessie neurogène spastique, telle
celle démontrée par le test urodynamique, subi par le travailleur à
la Clinique Mayo, il faut nécessairement qu'il y ait une lésion de
la moelle située au-dessus de L2, selon le docteur Péloquin, ou
au-dessus de D1-D11 ou L1, selon les docteurs Lamarre et Ladouceur.
Eh bien, chers docteurs François
PÉLOQUIN urologue, Denis LADOUCEUR neuro-chirurgien, Claude LAMARRE
orthopédiste et Michel LESSAGE, membre
corrompu de la Commission Internationale de la Santé au
Travail (CIST) et assesseur médical du tribunal administratif de la
Commission des Lésions Professionnelles (CLP),
voici la preuve que vous êtes 100% dans le
champ :
Cette étude scientifique :
Department of Neurosurgery and Medical Physics, Atkinson
Morle’y Hospital, Wimbledon, London, England »
; page 64,
révèle :
«The
detrusor hyperreflexia seen in cervical and dorsal lesion was only of
the compliant hyperreflexic type, and that seen in lesion of cauda
equina was only the noncompliant hyperreflexic type (Table 2). Of the
two patients with lesions of the conus medullaris and predominantly
upper motor neuron signs, one had a compliant hyperreflexic bladder
and the other a non-compliant hyperreflexic bladder
»
Téléchargez
l'étude médicale de neurochirurgie complète (quatre pages en format
.PDF) by W.S.L. GUNASEKERA Detrusor
Hyperreflexia in Neurogenic Bladder Disorders Caused by Localized
Partial Lesion of the Spinal Cord and
Cauda Equina,
by W.S.L. Gunasekera,
Traduction : l'hyperéflexie du détrusor observé dans les lésions
dorsales et cervicales n'était seulement que du type hyperéflexique
compliant,
alors que les lésions de la queue de cheval n'étaient
seulement que du type hyperéflexique
noncompliant...

Un Bilan Urodynamique pratiqué par
informatique à la Clinique Médicale MAYO rapportait un diagnostic de :
«Noncompliant
hyperreflexic neurogenic bladder with uninhibited detrusor contraction
resulting in urinary incontinence. Detrusor leak point pressures of 48
cm being noted
»

Cette référence médicale démontre
bien que ma vessie neurogène de type noncompliante hyperéflexique ne
peut seulement provenir que d'une
lésion à la moelle à l'étiologie discale lombaire; la queue de
cheval, plutôt qu'à une lésion de la moelle située au-dessus de L2
comme le déclaraient faussement le docteur
François PÉLOQUIN urologue, ou au-dessus de D1 - D11 ou L1, selon les
docteurs Claude LAMARRE orthopédiste et Denis LADOUCEUR
neuro-chirurgien, et ce contrairement aux opinions
généralement admises en médecine sur le sujet.
Ces truands ont carrément menti, on en a la peuve.
Un autre article scientifique rapporte ici très clairement qu'un
dommage à L5-S1 est la cause d'un syndrome de la queue de cheval :
https://www.ncbi.nlm.nih.gov/pmc/articles/PMC4279276/
Rien à voir avec les lésions dorsales en D1-D11 ou L1 comme on essayait
de m'enfirouaper par du dérire médical
qui n'a rien de scientifique ... la corruption et le crime organisé au
ministère du travail du Québec c'est en plein ça !
Ici encore plus
: ''
What are the causes of a Cauda
equina syndrome ? A large ruptured disc can cause cauda equina
syndrome. During a herniation, the gel-like center of a spinal disc can
bulge or rupture through a weak area in the disc wall and compress the
nerves. In the majority of cases, the disc herniation occurs at the
L4-L5 or L5-S1 discs in the lumbar spine. Source
et référence :
https://mayfieldclinic.com/pe-caudaequina.htm We comply
with the HONcode standard for trustworthy health information:
verify here.
Comme par ''hasard'' voici le protocole
opératoire de neuro-chirurgie pour mes hernies en L4-L5 & L5-S1 ....
tiens ... bizarre ... coïncidence ... même niveaux
vertébraux atteints ... !
Page 1 &
page 2
.
Tout
médecin sait
pertinemment très bien que la sciatalgie bilatérale est
un drapeau rouge signalant un DANGER de développer un syndrome de la
queue de cheval et que la cause principale est une hernie discale en
L4-L5 & L5-S1, c'est ''basic''. Ici les médecins jouent les idiots
avec leur théorie du complot des niveaux dorsaux ''D'' ou L1-L2.
Dès ma première visite en urgence suite à l'accident du 11
septembre 1993, le Dr. Réjean Vanier posait un diagnostic de
sciatalgie bilatérale :

Ainsi que le Dr. Marcel Morand physiatre à l'Hôpital de la Cité
de la Santé de Laval le 17 février 1994 qui posait le diagnostic
de : ''lombo sciatalgie bilatérale'' et même
une mise en tention radiculaire positive
bilatéralement, et ce, un mois avant que je ne sois forcé
de reprendre mon travail suite à la décision erronée du membre du
Bureau d'Évaluation Médical (BÉM) le Dr. Louis E. Roy neurologue dont
l'expertise fut ''infirmée'' par le
Bureau de révision de la CSST. NOTE :
Administrativement, une expertise médicale infirmée veut
juste dire qu'elle n'était pas véridique ... ou non conforme aux
faits, mais cela n'efface pas
pour autant les préjudices qu'elle cause.



Quel est la cause du syndrome de la queue
de cheval ?
Principalement des disques herniés en L4-L5 & L5-S1
Comment traite t'on le
syndrome de la queue de cheval ?
Par une Discoïdectomie
(Discectomy en anglais)
Quel hasard, j'ai subi
une discoïdectomie en L4-L5 &
L5-S1 le 30 janvier 1995!
Selon les quatre médecins bandits dont leur
crimes est exposé ici ''il
faut nécessairement qu'il y ait une lésion de la moelle située au-dessus
de L2, selon le docteur Péloquin, ou au-dessus de D1-D11 ou L1, selon
les docteurs Lamarre et Ladouceur''.
La corruption c'est ça, du n'importe quoi pour voler les droits des
travailleurs accidentés. La police corrompue de la Sûreté du Québec
ferme les yeux sur des parjures, les corrompus du Collège des médecins
du Québec ferment les yeux sur ces fraudes médicales, les 125 dépravés
et bandits de l'Assemblée nationale du Québec ferment les yeux et les
bandits du Tribunal le plus corrompu au Canada protègent la truande, la
fraude, la magouille et la corruption, bravo au bandit Dr. Michel
Lessage membre de la Commission Internationale de la Santé au Travail
(CIST), un modèle de prostitution et de corruption mondiale ... le crime
organisé!


Voilà comment des membres du
corps médical du Québec au service du crime organisé du ministère du
travail du Québec, avec la complicité des tribunaux corrompus ET SURTOUT
DE L'ASSESSEUR MÉDICAL DU TRIBUNAL et de la
CSST volent les droits des accidentés, ils se parjurent en cour allant
à l'encontre de la science médicale, sans compter qu'ils ont
«inventés
de toute pièces»
une lésion en haut de L2, lésion qui n'a jamais été démontrée en
radiologie, malgré le nombre impressionnant d'examens radiologique que
j'ai subi depuis 1993, qu'il s'agisse de tomodensitométrie, myélographie,
discographie et résonance magnétique etc...
Si le Collège des médecins du Québec
faisait son job de protection du public comme c'est
«supposé»,
les docteurs Michel Lessage, François PÉLOQUIN,
Claude LAMARRE et
Denis
LADOUCEUR seraient radiés de leur Ordre professionnel. Même si je
sais d'avance que le Collège des médecins va prétendre que ma plainte
n'est pas fondée, je vais quand même faire le test, question de démontrer
au monde entier que la corruption médicale, le parjure, la tricherie et
le mépris des Droits de l'Homme règnent en maître dans les Tribunaux
administratifs corrompus du Québec ainsi qu'au Collège des médecins du
Québec qui fait semblant de protéger le public mais qui, dans les faits,
protège les médecins corrompus qui mentent, qui trichent, qui se
parjurent et détruisent des vies par des crimes violents et crapuleux.
Comment un accidenté du travail a
t'il la moindre chance de gagner sa cause lorsque son propre médecin
expert, dans mon cas, le docteur François PÉLOQUIN
urologue se parjure lui aussi devant le tribunal par pur non sens
scientifique ?
Tous ces intervenants qui me volent
mes droits et qui ne me soignent pas, voudraient en plus que je leur
porte respect et lorsque je conteste ou critique ou dénonce ... je
deviens l'agresseur. Je ne cherche que la justice mes amis et je réclâme
haut et fort mes droits fondamentaux supposément ''garantis'' par la
Charte des droits de la personne.
Décidément, au Québec, rien n'a changé
depuis les années
«50»
où des psychiatres diagnostiquaient faussement des orphelins d'arriérés
mentaux pour des raisons économique. En l'an 2020, l'Histoire se répète
et ce sont les accidentés du travail et de la route qui se font méprisés
et volés par le meilleur gouvernement magouilleux dans la province la plus
corrompue au Canada, le Québec, royaume de la corruption et du mépris de
la vie, de la santé, de la sûreté et de l'intégrité physique ... mais
cela ne compte pas au Québec ! Même le crime est permis au
ministère du travail du Québec.
Est-ce que j'ai le droit de
dénoncer que le fonctionnaire de la CNESST Robert BOULERICE a
falsifié mon diagnostic médical et que ce crime à mis la table
pour me rendre invalide à vie ?
Écoutez cet extrait de mon
médecin traitant à Enjeux de Radio-Canada avec la journaliste
madame Anne PANASUK qui confirme que son diagnostic fut falsifé
ce qui a provoqué cette catastrophe de me rendre invalide à vie.
http://jeangodbout.ca/csst/vanier1.mp3
''Les
orphelins de Duplessis est le nom donné à des milliers d'enfants
orphelins qui ont faussement été déclarés malades mentaux par le
gouvernement du Québec et confinés dans des institutions psychiatriques
entre les années 1940 et 1960. On considère que c'est le cas le plus
important de maltraitance d'enfants dans l'histoire du Canada. Tous ces
orphelins seront baptisés orphelins de Duplessis car cela coïncide avec
l'époque où Maurice Duplessis était premier ministre du Québec. À
plusieurs reprises, des enfants enlevés à leur mère célibataire ont été
battus, agressés sexuellement et même tués, à la suite d'un massacre''.
Source et référence : Wikipédia (orphelins de Duplessis).
On reconnaît finalement, après 13 ans de
batailles, cette lésion grave et permanente du syndrome de la queue de
cheval, mais ces bandits m'avaient volé par la truande, la fraude, la
corruption, le mensonge et la tricherie médicale et le
parjure sous serment devant un Tribunal
(le crime organisé .... c'est ça) Dr. Michel Lessage tu es un truand tout comme les docteurs
François Péloquin urologue, Dr.
Claude LAMARRE orthopédiste et Denis LADOUCEUR neuro-chirurgien
.... tous corrompus, tous voleurs de mes Droits, vous êtes des bandits.
Vos délires médicaux ne tiennent pas la route, bande de bandits qui détruisez des
vies et des familles par vos magouilles.
NOTE personnelle à mes bourreaux
qui m'ont rendu invalide à vie par des crimes violents et crapuleux;
qu'une expertise médicale soit infirmée et
renversée, cela n'efface pas les dommages qui en résultent !
...
Primum non nocere ...
le principe du droit est très clair, celui
qui cause un dommage est tenu de le réparer. Sauf que le royaume
de la corruption du gouvernement du Québec ce principe ne compte pas
!


______________
Coping with CES
(Cauda Equina Syndrome)
CES can affect people both physically and
emotionally, particularly if it is chronic. People with CES may no
longer be able to work, either because of severe pain, socially
unacceptable incontinence problems, motor weakness and sensory loss
or a combination of these problems.
Loss of bladder and bowel control can be
extremely distressing and have a highly negative impact on social
life, work and relationships. Patients with CES may develop frequent
urinary infections. Sexual dysfunction can be devastating to the
patient and his/her partner and may lead to relationship
difficulties and depression.
Severe nerve-type (neurogenic) pain may
require prescription pain medication with side effects that may
cause further problems. If the pain is chronic, it may become
"centralized" and radiate to other areas of the body. Neurogenic
pain tends to be worse at night and may interfere with sleep. This
type of pain tends to produce a burning feeling that can become
constant and unbearable. Sensory loss may range from pins and
needles to complete numbness, and may affect the bladder, bowel and
genital areas. Weakness is usually in the legs and may contribute to
problems walking.
_____________________________________________________________________________________________________________________________________________________________________________________________
Code
de déontologie des médecins
Loi médicale (L.R.Q., c. M-9)
Code des professions (L.R.Q., c. C-26, a.87)
Devoirs
et obligations envers le public
2.02.01 Le médecin a le devoir primordial,
à l'occasion de l'exercice de ses fonctions médicales, de protéger
la santé et le bien-être des individus qu'il dessert tant sur le
plan individuel que collectif.
Le médecin doit avoir une conduite irréprochable envers toute
personne avec qui il entre en relation dans l'exercice de sa profession.
2.02.02 Le médecin doit favoriser
l'amélioration de la qualité et de la disponibilité des services
professionnels dans le domaine où il exerce.
2.02.04 Le médecin, exposant des opinions
médicales par la voie de quelque médium d'information que ce soit
s'adressant au public, doit:
- (paragraphe supprimé) ;
- (paragraphe supprimé) ;
- informer la population des opinions généralement
admises en médecine sur le sujet;
- éviter toute publicité intempestive en faveur
d'un médicament, d'un produit ou d'une méthode de diagnostic ou de
traitement.
2.02.07 Le médecin peut communiquer, dans
un médium d'information s'adressant au public, toute information
factuelle, exacte et vérifiable, à la condition de que
l'information :
- 1o ne contienne aucune déclaration
de nature comparative ou superlative reliée à la qualité des
produits, des professionnels ou des services mentionnés dans cette
information
-
- 2o ne contienne aucun témoignage
d'appui ou ce de reconnaissance concernant le médecin soit, ou son
exercice professionnel.
De plus, selon le Code criminel
Canadien, le parjure sous assermentation devant un tribunal constitue un
acte criminel.
______
Que ça doit être humiliant pour des
grands docteurs avec des titres de neuro-chirurgien, orthopédiste et
urologue EXPERTS de se faire prendre en défaut par un vulgaire
machiniste! On assiste à la démonstration que ce n'est pas
l'instruction qui procure l'intelligence. Et si on commençait à
reconnaître les faits, ces magouilles de la CSST m'ont fait passer d'une
personne facilement sauvable avec un minimum d'éthique à une personne
invalide à vie avec des atteintes graves et permanentes à des organes
vitaux .... par fraudes, falsification de diagnostic médical,
expertises erronées et infirmées,
par un crime de
négligence criminelle commis par l'employeur, par cupidité,
collusion, corruption, mensonges, trahisons ... il commence à être temps
(depuis 1994),
de reconnaître la violence que j'ai subi, le sévère traumatisme, la
destruction de ma vie en me rendant ''invalide à vie'' ne trouvez-vous pas ?
Désolé, mais je n'accepte pas la
violence et la cruauté de vos fraudes et magouilles !
Quae longo tempore extenuentur
corpora, lente reficere oportet.
____________
Le serment d'Hypocrate
La traduction de
Emile Littré (dernier paragraphe):
Si je remplis ce serment sans l'enfreindre, qu'il me
soit donné de jouir heureusement de la vie et de ma profession,
honoré
à jamais parmi les hommes; si je le viole et que je me parjure,
puissé-je avoir un sort contraire!
Il y a une émotion encore plus forte que celle de détruire des vies,
c'est de ne pas causer de dommages à autrui.
Petit moment de libération thérapeutique.
Ode à Gerry
Boulet - Offenbach, par Jean Godbout
Je suis venu te voir la haut
Pour te dire que moi aussi
J'ai mal à l'intérieur
Comme à l'extérieur.
Nous ne sommes pas pareil
Et pourtant on souffre de la même douleur
Nous retournerons ensemble
Comme des cendres
Ayoye tu m'fais mal
À mon coeur d'animal
Tu m'provoques des douleurs
Tu m'fais mal au cœur
Cette douleur qui est toujours éternelle
Elle me donne l'espoir de ne plus me réveiller.
Comme un éclair qui traverse mon corps
J'ai honte pour mes bourreaux.
Il n' y a que dans le silence
que la douleur s'entend.
Ces douleurs provoquées
Par les gestes des médecins
Ayoye tu m'fais mal
À mon coeur d'animal
Tu m'provoques des douleurs
Tu m'fais mal au cœur
Rien ne peut justifier cette violence
Préviens donc cette barbarie
L'émotion la plus forte
est assurément : Primum non nocere.
Et pourtant !
____________________________________________________________________
Sent: Saturday, October 31, 2020 12:14 PM
Subject: Re: CONFIDENTIEL 2020 QCCJA 1259
- Accusé de réception
Me Danie
Daigle
Adjointe à la présidence
Conseil de la justice administrative
575, rue Jacques-Parizeau, 4e étage,
Québec (Québec) G1R
2G4
Bonjour Me DAIGLE,
Dans
cette plainte 2020 QCCJA 1259, je
suis identifié comme étant le ''plaignant''
alors que je ne vous ai jamais soumis de plainte.
C'est probablement le cabinet du ministre de la
justice ou le ministère du travail qui vous a référé
cette plainte que je leur ai faite, mais assurément
pas moi.
De toute évidence la Commissaire
Lucie Couture a rendue une décision 100% erronée
et cette décision a été infirmée par la suite par le
Bureau de révision de la CSST (
http://jeangodbout.ca/csst/conciliation.html )
qui a finalement reconnue (après 13 ans de batailles
administratives) que ma lésion professionnelle est
un syndrome de la queue de cheval qui provient des
dommages aux niveaux
L4-L5 & L5-S1 de la colonne vertébrale, rien
à voir avec le fourberies, les mensonges, les
tricheries et les parjures des Drs. Michel
Lessage (assesseur médical pour le Tribunal de la
CLP présidée par Me Lucie Couture), François
Péloquin urologue, Claude LAMARRE orthopédiste et
Denis LADOUCEUR neuro-chirurgien.
***
[208]
En effet, la Commission des lésions professionnelle
retient les témoignages des docteurs PÉLOQUIN,
urologue, expert du travailleur, LAMARRE et
LADOUCEUR qui sont tous au même effet. Ils sont
d'avis que dans le cas d'une vessie neurogène
spastique, telle celle démontrée par le test
urodynamique, subi par le travailleur à la Clinique
Mayo, il faut nécessairement qu'il y ait une lésion
de la moelle située au-dessus de L2, selon le
docteur Péloquin, ou au-dessus de D1-D11 ou L1,
selon les docteurs Lamarre et Ladouceur.
Ces quatre médecins bandits
se sont parjurés devant le Tribunal et ce serait au
Collège des médecins de réprimander ces quatre
mercenaires médicaux qui mentent ouvertement sous
serment, mais force est de constater la corruption du
Collège des médecins du Québec qui protège les médecins
complices des crimes de la CSST et du Tribunal de la
Commission des lésions professionnelles du Québec est
plus forte que la raison. Le crime organisé du ministère
du travail du Québec et des 125 dépravés de l'Assemblée
nationale du Québec qui ont des orgasmes à détruire des
vies par des fraudes et des crimes violents et
crapuleux, c'est ça. (Je dis qu'ils ont des orgasmes car
ça fait 26 ans que je me plains à tous les dépravés de
l'Assemblée nationale du Québec d'avoir été rendu
invalide à vie par la falsification de mon diagnostic
médical commis le responsable de mon dossier Robert
Boulerice qui a produit une requête au Bureau
d'Évaluation Médicale (BÉM) en demandant faussement
au médecin ''expert'' de juger entre une
entorse lombaire
versus une entorse lombaire,
mais plutôt que de protéger la santé, la sûreté et
l'intégrité physique des travailleurs, ils ferment les
yeux et approuvent donc les fraudes de la CSST. La
collusion politique c'est ça) .... Évidemment c'est
l'entorse lombaire qui a gagné ! Robert Boulerice avait
fait ''disparaître'' la portion grave de mon diagnostic
déjà accepté par la CSST de
double hernie discale, avec sciatalgie
bilatérale. Ces fraudes de la CSST et de ses médecins
m'ont forcé a reprendre mon travail de machiniste et
pendant dix semaines j'ai dû travailler avec des poids
allant de 75 à 125 livres,
plus de deux fois la limite
légale qu'un travailleur en santé a le droit de
manipuler,
alors que la preuve
médicale démontre que j'aurais dû être en salle
d'opération d'urgence,
causant des dommages sérieux et permanents aux racines
nerveuses de la queue de cheval, j'en suis même déclaré
invalide à vie avec une classe IV de sévères limitations
fonctionnelles. Alors ces magouilles démontrent bien
pourquoi ces quatre médecins corrompus se sont parjurés
devant le tribunal présidée par la commissaire Lucie
Couture, d'une part on voulait ''effacer'' ou ''cacher''
les conséquences désastreuses des magouilles de Robert
Boulerice et des médecins de la CSST et de mon employeur
qui m'ont rendu invalide à vie et en plus me voler mes
droits à faire reconnaître la lésion grave du syndrome
de la queue de cheval. C'est tu assez clair comme
magouilles frauduleuses ?
Écoutez cet
extrait de mon médecin traitant (le Dr. Réjean
Vanier M.D.) à l'émission Enjeux de Radio-Canada
en discussion avec la journaliste madame Anne
PANASUK qui confirme que son diagnostic fut
falsifié et que c'est la chirurgie qui
m'attendait.
http://jeangodbout.ca/csst/vanier1.mp3
Voici la frauduleuse
et illicite requête destinée au médecin du BÉM
pour arbitrage ou on lui demande si j'ai une
entorse lombaire ou une entorse lombaire (la
fraude est manifeste et évidente) et le résultat
est tout simplement catastrophique, j'en suis
invalide à vie (mais ça compte pas en justice
corrompue du Québec) comme si la CSST était pure
et parfaite .... trop drôle ... 99 % de la
population du Québec connait bien les magouilles
de la CSST et savent qu'elle déplace des
montagnes pour s'esquiver d'indemniser des
travailleurs accidentés, pour y arriver, la CSST
se donne le droit de commettre des crimes et des
fraudes, toute les magouilles leur sont
permises, la corruption c'est ça. Hé, à une
fausse question on obtient toujours une fausse
réponse (garantie à 100%) ... quelle arnaque de
la CSST et du médecin corrompu du BÉM le docteur
Louis E. Roy neurologue.
http://jeangodbout.ca/csst/preuve/boulerice-fraude-01.jpg
Le crime que j'ai
subi est une réplique exacte du scandale des
orphelins de Duplessis, les bandits du ministère
du travail du Québec payent grassement des
médecins corrompus pour qu'ils produisent des
fausses expertises médicales et les truands du
Collège des médecins ferment les yeux et
protègent les crimes de ces mercenaires
médicaux, la prostitution, la collusion et le
crime organisé c'est ça au Québec, la province
la plus corrompue au Canada.
Hé ... même l'ex
ministre du travail monsieur Matthias Rioux
confirme que les médecins ''experts'' rendent
des diagnostics ''farfelus'' et qu'en 2007, 68%
des expertises ont été renversées par la suite
.... wow, comment 68% des diagnostics médicaux
peuvent-ils être mauvais .... seul le crime
organisé des médecins corrompus et criminels de
la CSST et du Tribunal complice et corrompu peut
expliquer ce chiffre honteux et tout à fait
surréaliste. Le Collège des médecins ne voit
pas de problème avec 68% d'erreurs de
diagnostics si c'est pour voler les droits des
travailleurs et enrichir le patronat qui
engraisse par la suite les caisses électorales
... la corruption c'est comme ça que ça se passe
au Québec, le royame de la corruption.
Cet extrait est
disponible en vidéo (moins de trois minutes)
Source Radio-Canada.
''Les
décisions du BÉM sont farfelues''
disait monsieur l'ex ministre du travail
monsieur Matthias RIOUX.
Voir la vidéo :
https://www.youtube.com/watch?v=fHGDy2AywPg
à 1 minute 45 secondes.
Par ailleurs, voici
un extrait d'un jugemnent de la cour supérieure
du Québec qui, ni plus, ni moins, confirme mes
dires à propos de mon retour prématuré au
travail alors que je devais être en chirurgie
d'urgence :
http://jeangodbout.ca/csst/preuve/commissaire-berube-admets.jpg
Me Danie Daigle,
quelle magouille allez-vous me répondre pour
justifier ce crime d'état qui m'a rendu invalide
à vie tout en protégeant la Commissaire me Lucie
Couture qui a manifestement rendue une décision
administrative erronée et infirmée et 100% dans
le champs comme les quatre médecins dont
l'assesseur médical du Tribunal le Dr. Michel
Lessage ?
Pouvons nous arrêter
de niaiser (ça fait plus de 1/4 de siècle que ça
dure)
la CSST, ses médecins et mon employeur m'ont
rendu invalide à vie, cela viole mes droits
fondamentaux ''garantis'' par la Charte (Art No
1) dont mon droit à
la santé, à la sûreté, à l'intégrité physique
et même mon droit à des conditions de travail
justes et raisonnables (Art 46), qu'on
reconnaisse les fautes (au lieu de nier les
preuves et les évidences) et qu'on les répare,
c'est la Charte qui le dit ! Misère de
corruption du gouvernement du Québec, corrompu
de de A à Z, de haut en bas, de long en large
.... Vous êtes tous des corrompus, des bandits
qui détruisez des vies et vous volez même vos
victimes après les avoir détruits par vos
fraudes et magouilles ! Quelle honte quel
mépris de la loi et du Droit. La justice est
une illusion dans le royaume de la prostitution
du gouvernement du Québec et du crime oraganisé
du ministère du travail du Québec. Allez y Me
Danie Daigle, recommandez au ministre de la
justice et du travail un règlement de ce
dossier, dans l'intérêt de tous les intervenants
et de mes droits et qu'on en finisse un jour.
J'ai hâte de fermer mon site Internet de
dénonciations et de tourner la page en vivant,
tant que possible avec dignité et sérénité
... Ça fait 26 ans que je dénonce et je suis
prêt a continuer jusqu'à ma mort si la justice
n'est pas rendue, il est temps qu'on comprenne
que je suis 100% légitime et justifié de
dénoncer la maltraitance que j'ai subi ainsi que
les traitements cruels et inhumains que j'ai
enduré et qui compremettent grandement ma
qualité de vie. Les atteintes sont graves, aux
organes vitaux, et les organes vitaux sont
vitaux pour la vie.
Je ne recherche pas
la vengence contre quiconque, l'esprit du droit
c'est : ''celui qui
cause un dommage est tenu de le réparer''.
Alors qu'on le répare, la Charte des Droits de
la personne le ''garantie''. Ces
magouilles ont détruit ma vie, ma santé, mon
intégrité physique et je paye encore en vivant
dans l'extrême pauvreté jusqu'à ma mort avec une
rente de vieillesse provinciale et fédérale de
$1300. par mois, c'est incacceptable de rendre
une personne pauvre et malade et le mettre à la
rue en violant les Droits fondamentaux.
Amen.
Jean Godbout
Sherbrooke
http://jeangodbout.ca
Sent: Wednesday, October 07, 2020 1:04 PM
Subject: CONFIDENTIEL 2020 QCCJA 1259 -
Accusé de réception
Monsieur,
Veuillez S.V.P prendre connaissance de l'information
ci-jointe concernant le dossier mentionné en objet.
Sincères salutations,
|